
Μία από τις πιο πολύπολοκες μαθηματικές φόρμουλες εκτελεί ο εγκέφαλός μας, όταν κάνουμε... ποδήλατο!
Αυτό ανακάλυψαν επιστήμονες από τις ΗΠΑ, τη Βρετανία και την Ολλανδία, οι οποίοι αποτύπωσαν με μαθηματικό τρόπο τη διεργασία που συμβαίνει στο ανθρώπινο σώμα, κατα τη διάρκεια της ποδηλασίας!
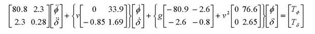
Λαμβάνοντας υπόψη διάφορες παραμέτρους όπως την αδράνεια, τη βαρύτητα, τη γυροσκοπική και την κεντρόφυγο δύναμη, τη ροπή στρέψης και την κλίση του ποδηλάτη, κατέληξαν σε μια άκρως σύνεθτη μαθηματική εξίσωση!!
Όπως εξήγησε ο δρ Arend Schwab από το Πανεπιστήμιο Τεχνολογίας Delft, της Ολλανδίας, η ικανότητα ισορροπίας και κίνησης του ποδηλάτη, απασχολεί μαθηματικούς και φυσικούς από την εποχή που εφευρέθηκε το ποδήλατο!
Ιδού λοιπόν πώς καταφέρνουμε να κάνουμε ποδήλατο:
πηγή:Pyles.tv
Δεν υπάρχουν σχόλια:
Δημοσίευση σχολίου